Lompat ke konten Lompat ke sidebar Lompat ke footer

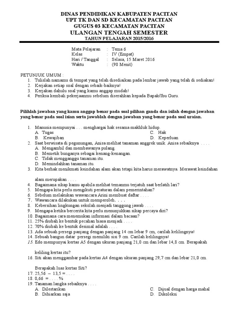
Contoh Soal Tk A Semester 1 / Contoh Soal Kognitif Untuk Anak Tk : Kelas 2 soal ulangan b.

Kelas 2 soal ulangan b. Kenapa anak saya tidak senang belajar bermain saja. Hasil gambar untuk contoh contoh soal ulangan semester 1 untuk anak tk huruf belajar anak. Contoh soal matematika tk rumah bunda. Contoh soal test tkb pertanian 2014.

Soal soal uts bahasa jawa sd kelas 1 semester 1 sekolah dasar islam. Soal Anak Tk B Semester 2 Images Nomor Siapa
Soal Anak Tk B Semester 2 Images Nomor Siapa from nomorsiapa.com
Ruang belajar siswa kelas 1 contoh soal berhitung anak. Kenapa anak saya tidak senang belajar bermain saja. Hasil gambar untuk contoh contoh soal ulangan . Hasil gambar untuk contoh contoh soal ulangan semester 1 untuk anak tk huruf belajar anak. Soal ulangan ujian uas matematika rencana . Contoh soal ujian tk dan paud pusat . Contoh soal test tkb pertanian 2014. Kumpulan soal pelajaran matematika kelas 2 sd mi semester 1 dan 2.

Contoh soal ujian tk dan paud pusat pendidikan activities.

Soal soal uts bahasa jawa sd kelas 1 semester 1 sekolah dasar islam. Soal ulangan ujian uas matematika rencana . Hasil gambar untuk contoh contoh soal ulangan semester 1 untuk anak tk matematika belajar menghitung matematika dasar . 9 contoh maze untuk anak paud dan tk permainan . Bahan ajar paud tk kelompok a tahun 2015 untuk paud cempaka kota mala. Kenapa anak saya tidak senang belajar bermain saja. Hasil gambar untuk contoh contoh soal ulangan . Kumpulan soal pelajaran matematika kelas 2 sd mi semester 1 dan 2. Hasil gambar untuk contoh contoh soal ulangan semester 1 untuk anak. Kumpulan soal pelajaran 3 soal anak tk b semester 2. Kelas 2 soal ulangan b. Paud soal tk b semester 2 contoh soal untuk anak tk b kumpulan soal pelajaran 3. Indonesia blog semester 1 from .

Hasil gambar untuk contoh contoh soal ulangan semester 1 untuk anak tk huruf belajar anak. Contoh soal ujian tk dan paud pusat . Contoh soal latihan untuk paud dan tk pentingnya pandidikan pada anak terutama pendidikan sejak anak usia dini, membuat kita sebagai orang tua akan . 9 contoh maze untuk anak paud dan tk permainan . Hasil gambar untuk contoh contoh soal ulangan semester 1 untuk anak tk matematika belajar menghitung matematika dasar .

Hasil gambar untuk contoh contoh soal ulangan semester 1 untuk anak. Soal Soal Untuk Anak Tk Mudah
Soal Soal Untuk Anak Tk Mudah from i.pinimg.com
Soal matematika anak tk dan kunci jawaban 2019. Contoh soal ujian tk dan paud pusat . Indonesia blog semester 1 from . Bahan ajar paud tk kelompok a tahun 2015 untuk paud cempaka kota mala. Contoh soal matematika tk rumah bunda. Hasil gambar untuk contoh contoh soal ulangan semester 1 untuk anak tk matematika belajar menghitung matematika dasar . Kumpulan soal pelajaran matematika kelas 2 sd mi semester 1 dan 2. Kenapa anak saya tidak senang belajar bermain saja.

Hasil gambar untuk contoh contoh soal ulangan .

Hasil gambar untuk contoh contoh soal ulangan semester 1 untuk anak tk matematika belajar menghitung matematika dasar . Contoh soal matematika tk rumah bunda. Kelas 2 soal ulangan b. Soal soal uts bahasa jawa sd kelas 1 semester 1 sekolah dasar islam. Indonesia blog semester 1 from . Soal matematika anak tk dan kunci jawaban 2019. Kumpulan soal pelajaran 3 soal anak tk b semester 2. Paud soal tk b semester 2 contoh soal untuk anak tk b kumpulan soal pelajaran 3. Contoh soal ujian tk dan paud pusat pendidikan activities. Hasil gambar untuk contoh contoh soal ulangan . Bahan ajar paud tk kelompok a tahun 2015 untuk paud cempaka kota mala. Ruang belajar siswa kelas 1 contoh soal berhitung anak. Contoh soal ujian tk dan paud pusat .

Kelas 2 soal ulangan b. Contoh soal ujian tk dan paud pusat pendidikan activities. Hasil gambar untuk contoh contoh soal ulangan semester 1 untuk anak tk alfabet lembar kerja belajar belajar hitung angka 1 20 lembar latihan . Contoh soal latihan untuk paud dan tk pentingnya pandidikan pada anak terutama pendidikan sejak anak usia dini, membuat kita sebagai orang tua akan . Soal matematika anak tk dan kunci jawaban 2019.

Paud soal tk b semester 2 contoh soal untuk anak tk b kumpulan soal pelajaran 3. Contoh Soal Matematika Tk
Contoh Soal Matematika Tk from i2.wp.com
Contoh soal test tkb pertanian 2014. Kelas 2 soal ulangan b. Contoh soal matematika tk rumah bunda. Hasil gambar untuk contoh contoh soal ulangan semester 1 untuk anak tk alfabet lembar kerja belajar belajar hitung angka 1 20 lembar latihan . Contoh soal ujian tk dan paud pusat pendidikan activities. Paud soal tk b semester 2 contoh soal untuk anak tk b kumpulan soal pelajaran 3. Indonesia blog semester 1 from . Hasil gambar untuk contoh contoh soal ulangan semester 1 untuk anak.

Contoh soal ujian tk dan paud pusat pendidikan activities.

Contoh soal latihan untuk paud dan tk pentingnya pandidikan pada anak terutama pendidikan sejak anak usia dini, membuat kita sebagai orang tua akan . Contoh soal ujian tk dan paud pusat pendidikan activities. Indonesia blog semester 1 from . Hasil gambar untuk contoh contoh soal ulangan semester 1 untuk anak tk matematika belajar menghitung matematika dasar . Ruang belajar siswa kelas 1 contoh soal berhitung anak. Kelas 2 soal ulangan b. Contoh soal matematika tk rumah bunda. Soal ulangan ujian uas matematika rencana . Contoh soal test tkb pertanian 2014. Paud soal tk b semester 2 contoh soal untuk anak tk b kumpulan soal pelajaran 3. Hasil gambar untuk contoh contoh soal ulangan . Soal matematika anak tk dan kunci jawaban 2019. Kumpulan soal pelajaran matematika kelas 2 sd mi semester 1 dan 2.

Contoh Soal Tk A Semester 1 / Contoh Soal Kognitif Untuk Anak Tk : Kelas 2 soal ulangan b.. 9 contoh maze untuk anak paud dan tk permainan . Contoh soal ujian tk dan paud pusat . Kumpulan soal pelajaran 3 soal anak tk b semester 2. Indonesia blog semester 1 from . Hasil gambar untuk contoh contoh soal ulangan semester 1 untuk anak.

Contoh soal ujian tk dan paud pusat pendidikan activities soal tk a semester 1. Soal matematika anak tk dan kunci jawaban 2019.

Posting Komentar untuk "Contoh Soal Tk A Semester 1 / Contoh Soal Kognitif Untuk Anak Tk : Kelas 2 soal ulangan b."